推薦企業新聞
-
水泵行業發展前景及剖析
2021年10/11 - 09:04:02
-
半閉式葉輪自吸離心泵
2021年10/11 - 09:03:57
-
水泵按時檢修方式 專業知識
2021年10/11 - 09:03:54
-
往復泵閥的功效是啥
2021年10/08 - 13:26:28
-
化工泵選型時要特別注意些哪些
2021年10/08 - 13:26:26
-
水泵的操縱方式如何
2021年10/08 - 13:26:25
40ZW15-30自吸泵外觀設計安裝尺寸圖及技術參數趨勢圖及價錢
40ZW15-30自吸泵安裝尺寸圖,40ZW15-30自吸泵特性趨勢圖,40ZW15-30自吸泵價錢
一、40ZW15-30自吸泵技術參數
40ZW15-30自吸泵型號規格里邊逐漸一個數據40代表40ZW15-30泵的進口和出入口規格全是DN40mm的,ZW英文字母代表產品名字自吸排污泵,第2個數據15代表40ZW15-30吸污水泵的總流量每鐘頭15立方,后數據30代表40ZW15-30自吸泵的水泵揚程30米,這兒必須留意的是全部自吸排污泵因為高效率比清水泵高效率要低一些而且型號選擇時也要充分考慮自吸式高寬比的損害、因此在挑選水泵揚程時假如務必要做到40米,提議采用水泵揚程在40米長的自吸排污泵比如:65ZW25-40。
1、分離式40ZW15-30自吸排污泵實體圖

2、傳送數據式40ZW15-30自吸泵實體圖

二、40ZW15-30自吸排污泵尺寸圖及40ZW15-30自吸排污泵安裝尺寸圖
最先要告知大伙兒40ZW15-30污水泵能夠制成分離式和傳送數據式的二種種類,分離式便是帶連軸器方式的、傳送數據式便是電動機軸延長離心葉輪就在電動機軸上固定不動的,這二種都有各的優點,分離式便捷拆換機封便捷維修可是在具體應用安裝全過程中通常會發生因為安裝全過程中均衡同軸度的原因當場應用出來非常容易發生連軸器非常容易毀壞、而且非常容易發生震動大、噪聲大的狀況發生,而傳送數據式的優勢占地小、設備故障率較低、震動及噪聲都較為小,僅僅檢修拆換機封時略微不便一點,大家還是提議采用傳送數據式的比較好。
1、分離式40ZW15-30自吸排污泵外觀設計安裝尺寸圖

2、傳送數據式40ZW15-30自吸排污泵尺寸圖

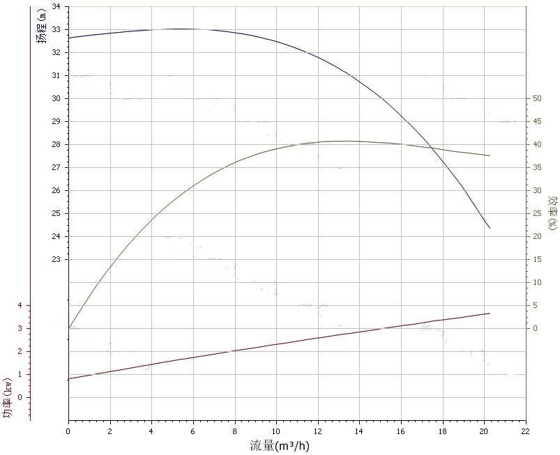
三、40ZW15-30自吸排污泵特性趨勢圖

四、40ZW15-30污水泵價錢
分離式40ZW15-30自吸泵價錢價稅合計含運輸費價錢2600元,傳送數據式40ZW15-30泵價錢2476元
假如運輸的物質黏度偏大提議采用:QBY隔膜泵比較好
此外必須防爆型的自吸排污泵請采用:防爆型自吸泵
假如必須計量檢定作用的泵提議采用:柱塞式計量泵
該篇有關40ZW15-30自吸泵安裝尺寸圖,40ZW15-30自吸泵特性趨勢圖,40ZW15-30自吸泵價錢的文章內容由大家技術專業的離心水泵網址原創。
上一篇:噪音小的離心泵有什么泵
下一篇:隔膜計量泵框架圖及特性
-
半閉式葉輪自吸離心泵2021-10-11
-
化工泵選型時要特別注意些哪些2021-10-08
-
污水泵與雜質泵有什么不同2021-09-22
-
油泵機械密封啟動前的注意事項2021-09-15
-
水泵領域,危害水泵行業發展的有益要素2021-09-08
-
潛水排污泵使用方法及常見問題2021-09-06
-
大流量排水搶險車用自吸泵由盛納給予2021-08-19
-
離心泵在農業生產中的作用2021-08-17
-
自吸式水泵進口管道改小對水泵的危害2021-03-31
-
磁力泵和屏蔽泵的安全性較為2021-08-02
-
上海市盛納水泵廠自吸泵原理剖析2021-03-09
-
離心泵的工作原理知識_離心泵工作原理動畫2021-03-31
-
盛納自吸式水泵測試平臺超過領域水準2021-08-12
-
潛水泵的關鍵技術性特性2021-03-10
-
多級離心泵的結構圖及原理2021-04-02
-
排污泵如何配電纜線2021-03-29




